Jump to main content Jump to footer

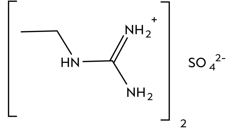
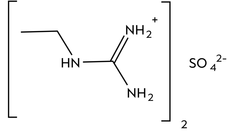
N-Ethylguanidine sulfate (2:1)

Product Details
CAS RN 3482-86-8
CAS Name Guanidine, ethyl-, sulfate (2:1)
Molecular Formula C6H20N6O4S
Synonyms Guanidine, ethyl-, sulfate (2:1)
N-Ethylguanidinium sulfate

Description

Intermediate for the synthesis of pharmaceuticals, agrochemicals and technical products.

Notification

EU US CHINA

Development Status

Research
YouTube is deactivated

We need your consent to use YouTube videos. For more information, see our Privacy Policy.

Vimeo is deactivated

We need your consent to use Vimeo videos. For more information, see our Privacy Policy.

Google Maps is deactivated

We need your consent to use Google Maps. For more information, see our Privacy Policy.

Juicer is disabled

We require your consent to use Juicer. For more information, please see our privacy policy.