Zum Hauptinhalt springen Zum Footer springen

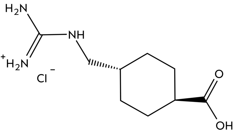
trans-4-Guanidinomethylcyclohexanecarboxylic acid Monohydrochloride

Product Details
CAS RN 78718-15-7
CAS Name Cyclohexanecarboxylic acid, 4-[[(aminoiminomethyl)amino]methyl]-, monohydrochloride, trans-
Molecular Formula C9H17N3O2 x HCl
Synonyms trans-4-Guanidinomethylcyclohexanecarboxylic acid hydrochloride

Description

Intermediate for the synthesis of pharmaceuticals, agrochemicals and technical products.

Notification

EU US CHINA

Development Status

Research
YouTube ist deaktiviert

Für die Verwendung von YouTube Videos benötigen wir Ihre Zustimmung. Weitere Informationen finden Sie in unseren Datenschutzbestimmungen.

Vimeo ist deaktiviert

Für die Verwendung von Vimeo Videos benötigen wir Ihre Zustimmung. Weitere Informationen finden Sie in unseren Datenschutzbestimmungen.

Google Maps ist deaktiviert

Für die Verwendung von Google Maps benötigen wir Ihre Zustimmung. Weitere Informationen finden Sie in unseren Datenschutzbestimmungen.

Juicer ist deaktiviert

Für die Verwendung von Juicer benötigen wir Ihre Zustimmung. Weitere Informationen finden Sie in unseren Datenschutzbestimmungen.