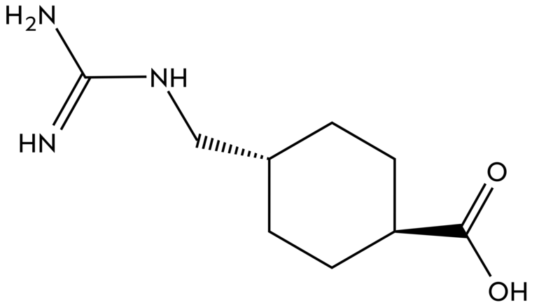
trans-4-Guanidinomethylcyclohexanecarboxylic acid

Product Details
CAS RN 38697-86-8
CAS Name Cyclohexanecarboxylic acid, 4-[[(aminoiminomethyl)amino]methyl]-, trans-
Molecular Formula C9H17N3O2
Molecular Weight 199,25 g/Mol
Synonyms trans-4-(Guanidinomethyl)cyclohexanecarboxylic acid

Description

Intermediate for the synthesis of pharmaceuticals, agrochemicals and technical products.

Notification

EU US CHINA

Development Status

Research
YouTube is deactivated

We need your consent to use YouTube videos. For more information, see our Privacy Policy.

Vimeo is deactivated

We need your consent to use Vimeo videos. For more information, see our Privacy Policy.

Google Maps is deactivated

We need your consent to use Google Maps. For more information, see our Privacy Policy.

privacy_overlay.juicer.title

privacy_overlay.juicer.description