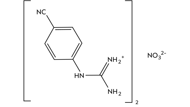
4-Cyanophenylguanidine nitrate

Product Details
CAS RN 5637-41-2
CAS Name Guanidine, N-(4-cyanophenyl)-, nitrate (1:1)
Molecular Formula C8H8N4 x HNO3
Molecular Weight 223,19

Description

Intermediate for the synthesis of pharmaceuticals, agrochemicals and technical products.

Notification

EU US CHINA

Development Status

Research
YouTube is deactivated

We need your consent to use YouTube videos. For more information, see our Privacy Policy.

Vimeo is deactivated

We need your consent to use Vimeo videos. For more information, see our Privacy Policy.

Google Maps is deactivated

We need your consent to use Google Maps. For more information, see our Privacy Policy.

privacy_overlay.juicer.title

privacy_overlay.juicer.description